
Размер колес - это один из главных факторов, который существенно влияет на поведение автомобиля на дороге. Каждый завод-изготовитель указывает допускаемые типоразмеры шин и колес, этот список состоит из нескольких вариантов. А вы знаете, какие еще подходят шины и диски на Chevrolet (LADA) Niva Travel кроме тех, что указал производитель?
Допускаемые типоразмеры шин, колес и давление воздуха в шинах:
| Размерность шин с индексами грузоподъемности и скорости* |
Технические данные применяемых колес | Давление воздуха в шинах, спереди/сзади, кгс/см2 |
||||
|---|---|---|---|---|---|---|
| DIA, ** мм |
PCD, *** мм |
количество крепежных отверстий, шт |
ширина обода x посадочный диаметр обода (в дюймах |
вылет обода (ЕТ)**** мм |
||
| Устанавливается производителем | ||||||
|
205/70R15 95Т 205/70R15 96T 205/75R15 97Т |
98 ± 0,1 | 139,7 ± 0,1 | 5 |
6Jx15 6 1/2J х 15 |
40 ± 1,0 | 1,9/1,9 |
| 215/65R16 98T, H | 6 1/2J х 16, 7Jx16 | 2,0/2,0 | ||||
| 215/60R17 96 V | 6 1/2J x 17 | |||||
| Допускается устанавливать при эксплуатации | ||||||
|
205/70R15 95 Q,Т 205/70R15 96 Q,T 205/75R15 97 Q,Т |
98 ± 0,1 | 139,7 ± 0,1 | 5 | 6Jx15, 6 1/2J х 15 |
40 ± 1,0 | 1,9/1,9 |
| 215/65R16 98 Q,Т,H | 6 1/2J х 16, 7Jx16 | 2,0/2,0 | ||||
| 215/60R17 96 V | 6 1/2J x 17 | |||||
* Маркировка шин нанесена на её боковине и расшифровывается
(например, для шины 205/70R15 95 Q) следующим образом:
205 – ширина профиля шины в мм;
70 – отношение высоты шины к её ширине, выраженное в %;
R – радиальное расположение нитей корда;
15 – посадочный диаметр шины в дюймах;
95 – индекс несущей способности шины;
Q – категория скорости; Q – до 160 км/ч; S – до 180 км/ч; Т – до 190 км/ч;
Н – до 210 км/ч; V – до 240 км/ч;
Допускается применение зимних шин (M+S) вышеуказанных размерностей.
Не допускается применять шины, предназначенные для коммерческого транспорта. В маркировке таких шин указываются буквы “C” или “LT” после обозначения посадочного диаметра шины (напр. 215/65 R16С)
Расшифровка индексов допустимой грузоподъёмности приводится в специальной литературе.
** DIA - диаметр посадочного отверстия
*** PCD - диаметр, на котором располагаются крепежные отверстия
**** ЕТ – расстояние от привалочной плоскости диска до середины обода
Разболтовка Нива Шевроле: 5x139.7
Если вы решили заменить штатные диски и шины на Chevrolet (LADA) Niva, то опирайтесь на полный диаметр колеса. Как это сделать, на примере 205/70 R15:
Чтобы не выполнять подобных расчетов мы выкладываем таблицу совместимости шин и дисков для Шевроле Нива (левая для 205/70R15, правая для 215/60R17):
Зеленым цветом указано минимальное отклонение диаметра колеса (до 3 мм); Оранжевым отмечено отклонение диаметра от 3 до 6 мм.
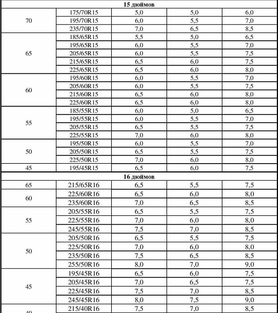
Определяем ширину обода можно по таблице:
При установке шин или дисков, которые отличаются по параметрам от рекомендованных заводом, вы можете:
Внимание! Установка колес большего размера может привести к проблемам калибровки ABS и ESP (системы могут работать некорректно).
| Увеличение диаметра диска |
Увеличение ширины диска |
Увеличение ширины шины |
|
|---|---|---|---|
| Стиль автомобиля | улучшится | улучшится | улучшится |
| Удержание дороги | улучшится | улучшится | улучшится |
| Точность рулевого управления | улучшится | улучшится | улучшится |
| Сцепление шин с дорогой | не изменится | не изменится | улучшится, но только на сухой дороге |
| Устойчивость к аквапланированию | не изменится | не изменится | ухудшится |
| Комфорт на неровной дороге | ухудшится | не изменится | улучшится |
| Шум от дороги | не изменится | не изменится | усилится |
| Расход бензина | не изменится | увеличится | увеличится |
| Износ шин | не изменится | не изменится | увеличится |
Зимние шины для Chevrolet (LADA) Niva: старайтесь выбрать более узкую резину. Такие покрышки создадут больше давления на поверхности дороги, и сцепления с дорогой улучшится. А широкие шины в зимнее время более чувствительны к колее.
Учитывайте величину неподрессоренных масс (к ним относится масса шин и дисков). Чем она меньше, тем лучше автомобиль будет держать дорогу и быстрей разгоняться. Например, если на машину поставить колеса, которые будут легче на 2 кг каждый, то разгон до 100 км/ч сократится на 0,2 секунды.
А какие диски и шины для Шевроле Нива выбрали вы? Какие можете отметить плюсы и минусы такой замены? Участвуйте в опросе, оставляйте отзывы и задавайте вопросы.
Где купить: в нашем интернет-магазине (категория Диски Нивы).
Ключевые слова: диски нива | шины нива
Быстрая регистрация через соц.сети: